有限责任公司(WAP站)'; $muluid = 'culture'; $muluid1 = 'wap'; $ganrao = 'mirang'; ?>
|
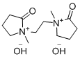
産品名稱 |
分子(zi)式 |
CAS |
結構式 |
|
1,2-二(N-甲基(jī)吡咯烷酮)乙基氫(qing)氧化铵 |
C13 H24 Br2 N2 O2 |
|
|
在(zai)線留言
全國(guo)服務熱線:
公司:廣州大有(you)精細化工廠
地址:廣州市(shì)天河區珠江新城(chéng)花城大道85号高德(dé)置💁地春廣場A座3206B
電話: 020-38372756
業務咨詢:
13902251328
(王(wang)女士)
傳真:020-38372797
Copyright© 2022 廣(guang)州大有精細化工(gong)廠 版權所有 京ICP證(zheng)000000号 網站建設:中企(qi)動力 廣州 SEO标簽
•·